5228: B3855 [语言月赛 202309] 扶苏迭代(入门)
Memory Limit:128 MB
Time Limit:1.000 S
Judge Style:Text Compare
Creator:
Submit:0
Solved:0
Description
Input

Output

Sample Input Copy
2
2 2
3 2
Sample Output Copy
2
3 2
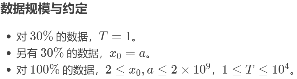
HINT



2
2 2
3 2
2
3 2
