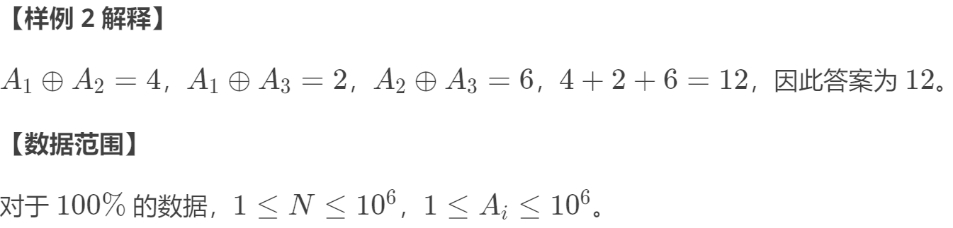
5115: P7627 [COCI2011-2012#1] X3(普及)
Memory Limit:128 MB
Time Limit:1.000 S
Judge Style:Text Compare
Creator:
Submit:0
Solved:0
Description

Input

Output

Sample Input Copy
2
19
10
Sample Output Copy
25
HINT
